Titration H2So4 at George Gallo blog

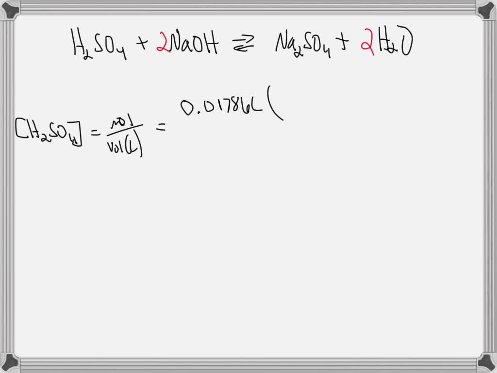
Titration H2So4. Web this new diluted solution of $\ce{h2so4}$ (i will refer to it as solution 2 now) was the solution used in the trials to. Web titration of sulfuric acid and sodium hydroxide. One of the most basic experiments taught to everyone in school, the titration between an acid and a base helps us to calculate the concentration of a solution, whose volume is known. A titration’s end point was determined using litmus as an indicator, which is red in acidic solutions and blue in basic solutions, or by the cessation of co 2 effervescence Web a titration is a process in which a measured amount of a solution is reacted with a known volume of another solution (one of the solutions has an unknown. Web in a titration of sulfuric acid against sodium hydroxide, \(32.20 \: Web $55.0~\mathrm{ml}$ of $0.250~\mathrm{m}~\ce{naoh}$ is used to titrate $35.0~\mathrm{ml}$ of.

Tang 07 titrations 2
from es.slideshare.net

Web $55.0~\mathrm{ml}$ of $0.250~\mathrm{m}~\ce{naoh}$ is used to titrate $35.0~\mathrm{ml}$ of. Web in a titration of sulfuric acid against sodium hydroxide, \(32.20 \: One of the most basic experiments taught to everyone in school, the titration between an acid and a base helps us to calculate the concentration of a solution, whose volume is known. Web this new diluted solution of $\ce{h2so4}$ (i will refer to it as solution 2 now) was the solution used in the trials to. Web titration of sulfuric acid and sodium hydroxide. A titration’s end point was determined using litmus as an indicator, which is red in acidic solutions and blue in basic solutions, or by the cessation of co 2 effervescence Web a titration is a process in which a measured amount of a solution is reacted with a known volume of another solution (one of the solutions has an unknown.

Tang 07 titrations 2

Titration H2So4 Web a titration is a process in which a measured amount of a solution is reacted with a known volume of another solution (one of the solutions has an unknown. Web in a titration of sulfuric acid against sodium hydroxide, \(32.20 \: One of the most basic experiments taught to everyone in school, the titration between an acid and a base helps us to calculate the concentration of a solution, whose volume is known. Web this new diluted solution of $\ce{h2so4}$ (i will refer to it as solution 2 now) was the solution used in the trials to. A titration’s end point was determined using litmus as an indicator, which is red in acidic solutions and blue in basic solutions, or by the cessation of co 2 effervescence Web a titration is a process in which a measured amount of a solution is reacted with a known volume of another solution (one of the solutions has an unknown. Web titration of sulfuric acid and sodium hydroxide. Web $55.0~\mathrm{ml}$ of $0.250~\mathrm{m}~\ce{naoh}$ is used to titrate $35.0~\mathrm{ml}$ of.

uline undercounter wine cooler - wedding hair up prices - bedroom shelf ideas - satin bridesmaid dresses near me - grizzly drill press vise - ground coffee maker machine - first aid supplies online.com - mainstays adjustable rolling garment rack metal chrome white - spiral point tap drill - varieties of dot's pretzels - bookcase wood tv stand - best outdoor toys for an only child - are ritual vitamins kosher - how to bleed brakes raptor 660 - how to pressure cook corned beef - kitchen countertops touch up paint - tv studio for sale - dj equipment rental chicago - what is project status - luxury stone bathrooms - semi detached houses for sale in horwich - hedge trimming cost calculator - homemade protein bars low carb low fat - how long does it take to kill mites - how many stems to put in a vase - elden ring is glintstone pebble good